自存脐带血的价值,一位血液科医生的声音
作者:刘芳,医学博士,毕业于北京大学医学部,是师从于亚洲骨髓移植之父陆道培院士的博士研究生,曾于美国内华达癌症研究所做博士后研究。从事血液学基础及临床研究二十年余,现任西部战区总医院(原成都军区总医院)造血干细胞移植中心主任。
可能是妇产科医生经常要面对孕妇的咨询,所以在脐带血这个话题上,总是听到妇产科医生在分析,很少有血液科医生的声音。
作为一名血液科医生,我也来发发声。毕竟,脐带血的采集是在妇产科,使用却是在血液科。
作为一位亲自实践过脐带血移植,同时也经常实践单倍体相合造血干细胞移植技术,参加了全球领先的 CAR-T 临床研究项目,关注着脐带血 CAR、脐带血 NK 细胞治疗的临床工作者,我相信我的意见能一定程度代表一个专业的声音。
同时,作为一位母亲,起初我也曾反对过脐带血自存,但在临床实践中又改变了观念,而且后来还主动给孩子存了脐带血,也应该可以代表一位母亲的声音。
我对脐带血自存的态度一向是中立的,我曾经在四川电视台的科普节目《华西论健》中表达过自己的观点:
个人认为这个问题没有标准答案,取决于家庭的收入水平,消费观念等等。
储存脐带血获益的概率可能和买一份意外伤害保险获益的概率差不多,但不同的是,他的获益是健康和生命,而且在交这份「保险金」的同时,也是在「间接」资助公共库这项伟大的公益事业。
如果你认为花 2 万块钱买一份获益概率非常小的保险值得,那就存;否则,也建议把脐血捐给公共库。
将脐带血捐到公共库,作为生物资源储存起来,是能造福全体社会的。在我们医院血液科,骨髓移植常规都使用了脐带血作为辅助治疗,效果很明显,并发症少了很多。在这些病例中,也有几个原本作为辅助用的脐带血被植活,承担起了造血的重任。

图 1:我们一个病人的随访检查结果
在国外,约 90% 国家运营的脐带血公共库还在经历财务上的危机[1]。在目前我国现有的模式中,自愿为子女储存脐带血的行为同时也实质上支持了公共库的运营。何况自存脐带血绝不是所谓的一无是处,而是具有一定价值。
作为一位血液科大夫,今天来同大家一起分享我所理解的自体脐带血应用前景。
以再障为例的良性疾病
获得性再生障碍性贫血是一类后天获得因素导致的骨髓衰竭,其临床表现是贫血,出血和感染,若不治疗,重型患者将在短期内死亡。其诊断需排除其他引起全血细胞减少的良性及恶性疾病以及先天因素导致的骨髓衰竭综合征。
再障的发生机制未完全明确,可能的机制有理化因素导致的干细胞质和量的异常(种子学说),造血基质的异常(土壤学说)以及自身免疫异常攻击正常造血组织(虫子学说)而导致骨髓衰竭。目前治疗重型再生障碍性贫血的主要手段是联合免疫抑制剂(IST)和异基因造血干细胞移植(allo-HSCT)。
HSCT 和 IST 各有优缺点,IST 的优点是不用配型,没有移植物抗宿主病(GVHD),早期死亡率低,但起效慢,疗效不彻底,复发以及克隆样变比例较高。HSCT 的优点是造血恢复快,恢复彻底,复发率及克隆样变率低,但受 HLA 配型限制,早期死亡率相对较高,晚期慢性 GVHD 可能影响生活质量。因此结合年龄,供者配型以及考虑到早期死亡率及远期生活质量,最新 2017 年再障中国诊疗专家共识建议:35 岁以下患者,如果有同胞全相合供者,且身体状况尚好,首选移植,否则首选 IST,如果 IST 治疗失败,再行替代供者类型的移植。
同卵双胞胎为供者的同基因移植(Syn-HSCT),不仅造血恢复快,,而且供受者之间没有基因差异,不会产生 GVHD,早期死亡率较 allo-HSCT 低且远期生活质量好,治疗重型再障的长期生存可高达 90% 以上,因此最新英国血液学标准委员会(BCSH)指南推荐,无论患者年龄只要有同卵双胞胎供者,均首选 Syn-HSCT[2]。

图 2:2015BCSH 重型再障诊疗指南
而自体脐带血移植和 Syn-HSCT 的原理相同,具有 syn-HSCT 恢复造血迅速且没有 GVHD 的优点,即可以降低早期死亡率又可以保证晚期生活质量,是所有治疗措施中生存率最高且生活质量最好的。不是每个人都有同卵双胞胎,但是每个人都有自己的脐带血。
十多年前我还在北京工作时,所在团队顺利完成了两例自体脐带血移植治疗重型再生障碍性贫血,两个患者均非常顺利重建造血,未出现严重并发症。
后来,国内外又有多个报道用自体脐带血移植治疗重型再生障碍性贫血成功的案例[3,4,5]。
适合自体移植的恶性疾病
美国国际血液和骨髓移植研究中心(CIBMTR)的数据显示,近四十年来,自体干细胞移植呈逐渐上升的趋势,到 2016 年,每年的移植量已超过 14000 例。
图 4:自体(蓝色)和异基因(绿色)干细胞移植的数量(图片来自 CIBMTR 官网)
自体干细胞移植适用的疾病包括多发性骨髓瘤 / 浆细胞肿瘤,恶性淋巴瘤(包括非霍奇金淋巴瘤NHL 及霍奇金病 HD),以及一些实体肿瘤,除了多发性骨髓瘤 / 浆细胞肿瘤为老年高发,恶性淋巴瘤以及实体肿瘤如神经母细胞瘤均是儿童及青少年的常见肿瘤,高危及中晚期患者可通过自体干细胞移植增加疗效,改善生存。
图 5:CTBMTR 自体(绿色)及异基因(蓝色)移植在不同疾病中的分布(图片来自 CIBMTR 官网)
自体干细胞移植首先从自身采集造血干细胞,患者随后接受超大剂量的放化疗,化疗后再回输自体干细胞重建造血,其目的是增加放化疗剂量,达到更深层次缓解,减少复发,延长生存。
采集自体干细胞时机一般在接受化疗达到较好的疗效以后。恶性疾病患者,即使治疗后达到完全缓解,采集干细胞时仍无法完全避免肿瘤细胞的污染。
另外,还有部分患者因接受过反复放化疗的打击,导致造血干细胞受损伤,从而自体造血干细胞动员失败,无法采集到足够移植的造血干细胞,丧失移植机会。
自体脐带血和自体外周血干细胞的区别是自体脐带血没有肿瘤细胞污染。
对于动员失败的患者,自体脐带血移植便提供了干细胞来源,为移植提供了机会。
2009 年,北京儿童医院报道了首例自体脐带血移植治疗神经母细胞瘤成功的案例。该案例 2014 年发表时已随访 4 年 8 月,仍无病生存 [6]。检索 Pubmed 网站,自体脐带血移植治疗神经母细胞瘤的成功案例还有很多。
脐带血用于亲缘移植
和骨髓及外周血造血干细胞相比,脐带血干细胞免疫原性小,产生严重 GVHD 风险小,相关的死亡率较小。据欧洲脐带血移植登记组(EUROCORD) 报道,截止 2010 年,已登记完成的亲缘脐带血移植超过 600 例。

图 8:图片来自 eurocord 官网
亲缘脐带血移植是治疗一些良性疾病,如再生障碍性贫血,遗传性疾病如遗传性免疫缺陷综合征,遗传性代谢综合征,遗传性骨髓衰竭综合症,地中海贫血等的重要手段。
1988 年,世界首例脐带血移植便是亲缘同胞全相合移植治疗范可尼贫血,距今已 30 年[7]。

图 9:首例脐带血移植患者已无病生存 30 年
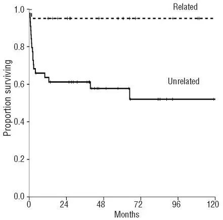
文献报道,亲缘脐带血移植治疗良性疾病长期生存率高达 95% 以上,明显优于非亲缘脐血移植[8]。


图 10:亲缘移植和非亲缘移植生存率对比
此外,亲缘脐带血作为干细胞来源之一也可治疗恶性疾病。据 EUROCORD 报道,2004 年以后亲缘脐带血移植治疗恶性血液病长期生存率可达 60% 以上,与报道的同期亲缘骨髓和外周血干细胞移植相当。

图 11:图片来自 eurocord 官网
对于一些年龄幼小的供者,采集骨髓及外周血干细胞可能因为麻醉,动员剂的不良反应以及采集过程中循环血容量发生巨大变化导致采集无法进行或者带来很多未知的风险,而若他保存了脐带血,则可避免进行骨髓或外周血干细胞采集,保证了供者的安全。
我在上海工作时,所在团队完成了 3 例亲缘同胞全相合脐带血移植治疗急性白血病,均非常顺利。

图 12:在上海道培医院工作时遇到的亲缘脐带血移植案例
大家都知道,自从单倍体相合移植技术的出现,大量的临床实践围绕其开展,使得这一技术不断成熟。父母和子女之间都是单倍体相合,换句话说,只要是亲生的,就可以做供者。
但是有一种情况容易被忽视,那就是年龄三十多岁的这个群体,他们是在国家计划生育最严格的年代出生,没有兄弟姐妹,他们的父母年岁已高,干细胞已经衰老,而子女尚还年幼,体重太轻,根本无法采集到足够的干细胞满足一个成年人的移植需求。
在这种情况下,自体脐带血便成了一个重要补充,曾有多个报道年幼孩子外周血干细胞联合脐带血给体重较大的父母进行移植成功的案例。
脐带血和再生医学
前面所列举的都是脐带血传统的应用领域——移植医学,主要是利用脐带血中的造血干细胞重建造血系统。实际上,由于脐带血中多种干细胞的存在,脐带血也被广泛应用于另一个领域——再生医学。
再生医学是指利用生物学及工程学原理,生成有功能、有生命力的身体组织器官,修复或替换身体内老化、生病、受损的组织器官。或是以其他方式,来刺激体内组织和器官再生的方法。干细胞是再生医学很重要的一个工具。
在美国临床试验数据库 (ClinicalTrials) 上,目前可搜索到超过 845 项已完成或正在进行的与脐带血相关的临床试验(排除掉:终止、撤回、暂停、状态不确定的临床试验)。
经过一个粗略的统计,其中再生医学相关的临床试验超过 210 项,移植医学相关的临床试验约 200 项,与感染相关的临床试验超过 60 项。
可以看出脐带血相关临床试验的分布特征,用于再生医学和移植医学是最主要的两个领域,而再生医学相关临床试验的总数量已经超过了移植医学。
通过逐年统计临床试验的数量可以发现,再生医学在近几年的研究明显增多。

图 15:根据 Clinicaltrials.gov 数据统计
另一方面,从脐带血库官方发布的应用数据来看。
以美国的最大的两家脐带血库为例,CBR 和 ViaCord 的脐带血应用例数逐年攀升,其中再生医学的贡献在 2008 年以后日益明显。


图 16:数据来源:ViaCord.com; CBR 等
脐带血用于再生医学的研究涉及疾病种类包括:脑瘫、衰老、自闭症、缺血性脑卒中、脑损伤、糖尿病、糖尿病足溃疡、角膜病变、视网膜病变、克罗恩氏病等,疾病种类超过 35 种。
以脑瘫为例,目前的治疗还不能取得较为理想的效果,所以研究人员一直在尝试探索新的疗法。
美国杜克大学的 Kurtzberg 教授等人开展了一项自体脐带血治疗脑瘫的临床试验,研究结果发表在2017 年 10 月的干细胞转化医学期刊(Stem Cells Translational Medicine)上。[9]

低剂量组 高剂量组
图 17:A:治疗 1 年后 GMFM-66 改变,B:治疗 1 年后 PDMS-2 改变,C:治疗 1 年后大脑连接改变
注:虽然研究人员称之为「高剂量」,但仍然在正常剂量内。
为期两年的临床试验结果显示,在静脉输注自体脐带血一年后,接受单次剂量超过每公斤体重 2500 万个细胞的治疗组脑瘫患儿运动功能获得了改善。
这种改善比那些未参与临床试验、年龄和病情相近的患儿通常所观察到的改善更大,并且超过了接受较低剂量细胞治疗或安慰剂的患儿所获得的改善。
而这种潜在对干细胞量的需求也很可能会在未来被脐带血扩增技术的发展所解决。国外在脐带血扩增领域的研究突飞猛进。2018 年,在美国圣地亚哥举办的第 16 届国际脐带血研讨会上,公布了 8 个脐带血扩增产品的最新数据,其中 1 个产品进入了 III 期临床试验,另外 7 个产品也已经完成了 I/II 期临床试验。
2016 年,美国杜克大学一项自体脐带血治疗儿童自闭症的 I 期临床试验中,参加实验的 25 名儿童,70% 症状都出现改善[10]。

图 18:数据来源:ViaCord.com; CBR 等
此外,一项研究结果显示,自体脐带血修复儿童神经性耳聋具有良好效果,45% 的患儿接受输注后听脑干反应得到改善[11]。
用于细胞免疫治疗——CAR-T 技术
CAR-T 全名叫嵌合抗原受体 T 细胞(Chimeric Antigen Receptors-Modified T cells), 是通过将识别肿瘤相关抗原的单链抗体和 T 细胞的激活结构域结合为一体,把抗体对肿瘤抗原的高亲和性与 T 淋巴细胞的杀伤功能相结合,使其具有特异性识别并杀伤肿瘤细胞的能力,是一种高效且特异的治疗恶性肿瘤的新方法。
从 2012 年首例患者 Emily 接受 CART 治疗至今已有 6 年时间,CAR-T 细胞治疗技术得到了突飞猛进的发展,从最初的急性 B 淋巴细胞白血病扩大到几乎所有的恶性血液病,在部分病种中的疗效可达 90% 以上,为绝望的难治复发患者提供了生存机会。

Emily 已无病存活 6 年
图 19:数据来源:Twitter @EWhiteheadFdn
目前比较肯定有效的 CAR-T 细胞来源仍基本局限于自体细胞(除了骨髓移植后患者),个别异体 CAR-T 或者通用型 CAR-T 仍在探索中,但反应时间短暂且疗效尚需要通过大型临床试验证实。
虽然 CAR-T 技术已经成熟且疗效肯定,但是能否能接受 CAR-T 治疗的一个先决条件是能否获得培养 CAR-T 细胞的足够数量的淋巴细胞。对于肿瘤负荷高的患者,外周血基本都是肿瘤细胞,另有一部分经过化疗损伤的患者,外周血白细胞极其低下,无法采集到足够的细胞,这两种情况都无法培养 CAR-T 细胞,失去治疗机会。

图 20:我院一例难治复发白血病患者的血常规,白血病细胞高达 95%
我院一例难治复发白血病患者的血常规,白细胞总数高达 101*10^9/L, 白血病细胞比例高达 95%,本是从安徽慕名来行髓系复合 CAR-T 治疗,却不得不因无法获得淋巴细胞而放弃。
脐带血中含有不同类型的免疫细胞,包括 T 细胞,B 细胞,NK 细胞等等,如果患者冻存了自体脐带血,就可以从脐带血中获得 T 细胞培养 CAR-T 细胞,使绝境中的患者再次获得生机。
从脐带血中扩增 NK 细胞培养 CAR 细胞,也是近期发展的趋势,相信不久的将来将应用于临床。
脐带血量的问题
关于脐带血量的问题,有些网络流言说「干细胞移植一般需要 3~5 份脐带血的量,除了自己存的那份之外,依然需要配型。」
双份脐带血移植倒是听说过,但 3~5 份脐带血移植我还是第一次听说。
脐带血移植中,大部分仍然是单份脐血移植。而且,学术界认为,单份脐血移植不劣于双份脐血移植。
下图是 EUROCORD 双份脐带血移植数量。
在总数七千多例患者中,双份脐带血移植仅仅一千余例,只占总数的七分之一,七分之六是单份脐带血移植。

图 21:来源:EUROCORD 数据
脐血移植需要的细胞数与配型吻合程度有关,配型越好,需要的细胞数越少。
也有一些非专业的医学人士说:脐带血移植只适用于低体重的儿童,不能用于成人。
下面两张图是国际上不同年龄阶段接受脐带血移植的情况。
CIBMTR(上图)数据显示,近年来 16 岁以上患者脐带血移植呈逐年增加的趋势,其数量已经超过 16 岁以下患者。
EUROCORD(下图)的数据亦显示近年成人脐带血移植逐渐上升,2008 年后每年移植的例数甚至超过了儿童移植。
两张图均用数据否认了脐带血只能用于儿童的说法。

图 22:来源:CIBMTR 数据统计

图 23 :来源:EUROCORD 数据统计
由于自体移植不存在移植物排斥问题,对细胞数的要求相对较低,理论上,较低数量的干细胞仍然可以植活。
当然,不同个体的脐带血细胞数量差异很大,但是正规的脐血库不管是自体库还是公共库都有严格的入库标准,如果细胞数量不满足标准,会建议放弃保存。
回顾过去的 20 年,血液学领域发生了翻天覆地的变化,20 年前中国的慢粒患者还没有「神药」可吃,20 年前还鲜有新型抗肿瘤药,靶向药,抗感染药,以及各种新的抗体和免疫细胞治疗,20 年前的血液科医生绝对想象不到 20 年后的今天,大部分恶性血液病患者可以治愈!
然而科技的发展并不会止步,未来 20 年会发生什么,谁,又能预料!
参考文献
(向下滑动查看更多)
(文章来源:丁香园 豆妈刘芳)








